Bentornati all'appuntamento musicale quotidiano.
Il brano selezionato per oggi è un classico della canzone italiana, "La canzone di Marinella", scritto e composto nel 1962 da Fabrizio De André (1940-1999).
L'ispirazione per tale composizione venne da un fatto di cronaca, come raccontò lo stesso De André in un'intervista:
"[Il brano] É nato da una specie di romanzo familiare applicato ad una
ragazza che a 16 anni si era trovata a fare la prostituta ed era stata
scaraventata nel Tanaro o nella Bormida da un delinquente. Un fatto di
cronaca nera che avevo letto a quindici anni su un giornale di
provincia. La storia di quella ragazza mi aveva talmente emozionato che
ho cercato di reinventarle una vita e di addolcirle la morte."
La versione che ascolteremo è il delicatissimo duetto (datato 1997) tra lo stesso De André e la grande Mina, la quale aveva già interpretato con successo la suddetta canzone nel passato.
Ah il video riprende oltretutto frammenti del film d'animazione La sposa cadavere di Tim Burton, che ben si accosta con la giornata di oggi, la festa di Halloween!
Alla prossima!
mercoledì 31 ottobre 2018
martedì 30 ottobre 2018
ONE GOOD PIECE OF MUSIC EVERY DAY: EXPLORERS/MUSE
Bentornati nella nostra rubrica musicale.
Quest'oggi il brano selezionato è un bel pezzo dall'album The 2nd Law (datato 2012) dei Muse, una tra le migliori rock band dei tempi recenti.
Spesso e volentieri i Muse si ispirano o addirittura inseriscono frammenti di musica classica nelle loro canzoni (oltre a citazioni di fisica!).
Anche il pezzo selezionato, "Explorers", è un esempio di tale sperimentazione, ove l'introduzione è vagamente ispirata al Piano Concerto n.2 di Rachmaninoff.
La canzone possiede anche un testo profondo, che velatamente si lamenta della "natura morente" di fronte all'avidità industriale dell'uomo.
Alla prossima!
Quest'oggi il brano selezionato è un bel pezzo dall'album The 2nd Law (datato 2012) dei Muse, una tra le migliori rock band dei tempi recenti.
Spesso e volentieri i Muse si ispirano o addirittura inseriscono frammenti di musica classica nelle loro canzoni (oltre a citazioni di fisica!).
Anche il pezzo selezionato, "Explorers", è un esempio di tale sperimentazione, ove l'introduzione è vagamente ispirata al Piano Concerto n.2 di Rachmaninoff.
La canzone possiede anche un testo profondo, che velatamente si lamenta della "natura morente" di fronte all'avidità industriale dell'uomo.
Alla prossima!
Commenti: 0
Etichette:
Musica,
One Good Piece of Music Every Day
lunedì 29 ottobre 2018
ONE GOOD PIECE OF MUSIC EVERY DAY: I CAN'T GET STARTED/GLEN GRAY
Bentornati ad un nuovo appuntamento musicale quotidiano.
Oggi un altro classico del jazz in programma: "I Can't Get Started", composto da Vernon Duke nel 1936, con testo di Ira Gershwin.
La versione che ascolteremo è quella del sassofonista e leader dell'ottima Casa Loma Orchestra Glen Gray (1900-1963), che a sua volta è un rifacimento dell'interpretazione del noto trombettista Bunny Berigan (1908-1942).
Alla prossima!
Oggi un altro classico del jazz in programma: "I Can't Get Started", composto da Vernon Duke nel 1936, con testo di Ira Gershwin.
La versione che ascolteremo è quella del sassofonista e leader dell'ottima Casa Loma Orchestra Glen Gray (1900-1963), che a sua volta è un rifacimento dell'interpretazione del noto trombettista Bunny Berigan (1908-1942).
Alla prossima!
Commenti: 0
Etichette:
Musica,
One Good Piece of Music Every Day
domenica 28 ottobre 2018
ONE GOOD PIECE OF MUSIC EVERY DAY: LULLABY OF BIRDLAND/DEE DEE BRIDGEWATER
Rieccoci nella rubrica musicale di Scienza e Musica.
Quest'oggi una magnifica interpretazione da parte della bravissima cantante jazz Dee Dee Bridgewater del brano "Lullaby of Birdland".
Trattasi di un pezzo scritto nel 1952 dal noto pianista e compositore George Shearing (1919-2011).
La denominazione del brano rimanda al soprannome del celebre sassofonista Charlie Parker (detto "Bird"), ma anche allo storico locale jazz Birdland di New York.
Godetevi questi 7 minuti di sublime musica.
Alla prossima!
Quest'oggi una magnifica interpretazione da parte della bravissima cantante jazz Dee Dee Bridgewater del brano "Lullaby of Birdland".
Trattasi di un pezzo scritto nel 1952 dal noto pianista e compositore George Shearing (1919-2011).
La denominazione del brano rimanda al soprannome del celebre sassofonista Charlie Parker (detto "Bird"), ma anche allo storico locale jazz Birdland di New York.
Godetevi questi 7 minuti di sublime musica.
Alla prossima!
Commenti: 0
Etichette:
Musica,
One Good Piece of Music Every Day
sabato 27 ottobre 2018
ONE GOOD PIECE OF MUSIC EVERY DAY: SANTA LUCIA/ANDRÉ RIEU
Bentornati nella nostra rubrica musicale.
Quest'oggi segnaliamo una vecchia conoscenza del blog, il violinista e direttore d'orchestra André Rieu, assieme alla sua Johann Strauss Orchestra, nella nota canzone napoletana "Santa Lucia", scritta da Teodoro Cottrau e pubblicata come "barcarola" a Napoli nel 1849.
Trattasi di una splendida versione strumentale (con accompagnamento di coro), un grande arrangiamento come ci si può generalmente aspettare da Rieu.
Buon ascolto!
Alla prossima!
Quest'oggi segnaliamo una vecchia conoscenza del blog, il violinista e direttore d'orchestra André Rieu, assieme alla sua Johann Strauss Orchestra, nella nota canzone napoletana "Santa Lucia", scritta da Teodoro Cottrau e pubblicata come "barcarola" a Napoli nel 1849.
Trattasi di una splendida versione strumentale (con accompagnamento di coro), un grande arrangiamento come ci si può generalmente aspettare da Rieu.
Buon ascolto!
Alla prossima!
Commenti: 0
Etichette:
Musica,
One Good Piece of Music Every Day
venerdì 26 ottobre 2018
ONE GOOD PIECE OF MUSIC EVERY DAY: WITH OR WITHOUT YOU/SCALA & KOLACNY BROTHERS
Rieccoci ad un nuovo appuntamento musicale su Scienza e Musica.
Oggi ascolteremo un capisaldo degli U2, "With or Without You", brano pubblicato originariamente nel 1987, riarrangiato però per coro e pianoforte!
Sì la versione a cui ci riferiamo è quella del coro belga Scala & Kolacny Brothers, ove i Kolacny Brothers sono rispettivamente Stijn Kolacny, che dirige il suddetto coro di voci femminili, e Steven Kolacny, il quale suona il pianoforte.
La loro interpretazione di With or Without You è da brividi! Ascoltare per credere.
Alla prossima!
Oggi ascolteremo un capisaldo degli U2, "With or Without You", brano pubblicato originariamente nel 1987, riarrangiato però per coro e pianoforte!
Sì la versione a cui ci riferiamo è quella del coro belga Scala & Kolacny Brothers, ove i Kolacny Brothers sono rispettivamente Stijn Kolacny, che dirige il suddetto coro di voci femminili, e Steven Kolacny, il quale suona il pianoforte.
La loro interpretazione di With or Without You è da brividi! Ascoltare per credere.
Alla prossima!
Commenti: 0
Etichette:
Musica,
One Good Piece of Music Every Day
giovedì 25 ottobre 2018
ONE GOOD PIECE OF MUSIC EVERY DAY: STARDUST/GLENN MILLER
Ben ritrovati in questa rubrica musicale.
Oggi un altro classico della musica jazz, "Stardust" (in italiano si traduce "Polvere di Stelle"), brano del 1927 di Hoagy Carmichael.
L'esecuzione che ascolteremo è quella, datata 1944, del mitico Glenn Miller (1904-1944) con l'Army Air Force Orchestra.
Glenn Miller è stato, oltre che un abile trombonista, anche un compositore, arrangiatore e vero innovatore del modo di far musica.
Sussiste un mistero attorno alla sua morte, avvenuta nel corso della 2° Guerra Mondiale, mentre sorvolava la Manica a bordo di un aereo militare al fine di raggiungere Parigi.
Il suo corpo non venne infatti mai recuperato, ma la sua musica resterà in eterno, per fortuna!
Nel 1954 uscì peraltro un bel film intitolato La storia di Glenn Miller, diretto da Anthony Mann, che racconta l'ascesa alla celebrità del musicista sino al tragico ed enigmatico evento.
Buon ascolto!
Alla prossima!
Oggi un altro classico della musica jazz, "Stardust" (in italiano si traduce "Polvere di Stelle"), brano del 1927 di Hoagy Carmichael.
L'esecuzione che ascolteremo è quella, datata 1944, del mitico Glenn Miller (1904-1944) con l'Army Air Force Orchestra.
Glenn Miller è stato, oltre che un abile trombonista, anche un compositore, arrangiatore e vero innovatore del modo di far musica.
Sussiste un mistero attorno alla sua morte, avvenuta nel corso della 2° Guerra Mondiale, mentre sorvolava la Manica a bordo di un aereo militare al fine di raggiungere Parigi.
Il suo corpo non venne infatti mai recuperato, ma la sua musica resterà in eterno, per fortuna!
Nel 1954 uscì peraltro un bel film intitolato La storia di Glenn Miller, diretto da Anthony Mann, che racconta l'ascesa alla celebrità del musicista sino al tragico ed enigmatico evento.
Buon ascolto!
Alla prossima!
Commenti: 0
Etichette:
Musica,
One Good Piece of Music Every Day
mercoledì 24 ottobre 2018
ONE GOOD PIECE OF MUSIC EVERY DAY: SUMMERTIME/ELLA FITZGERALD & LOUIS ARMSTRONG
Rieccoci al nostro appuntamento musicale.
Il brano selezionato per oggi è una pietra miliare della musica jazz, "Summertime", tratto dall'opera del 1935 Porgy and Bess di George Gershwin.
Si potrebbero segnalare decine e decine di ottime versioni del suddetto pezzo, ma tra le più memorabili c'è sicuramente l'incredibile duetto tra Ella Fitzgerald e Louis Armstrong, che definire pilastri della musica jazz sarebbe riduttivo.
Il brano parte con l'introduzione strumentale alla tromba da parte di Satchmo (soprannome di Louis Armstrong) e prosegue con l'impeccabile canto di Ella, coadiuvata dall'inconfondibile voce di Louis.
Un vero capolavoro!
Alla prossima!
Il brano selezionato per oggi è una pietra miliare della musica jazz, "Summertime", tratto dall'opera del 1935 Porgy and Bess di George Gershwin.
Si potrebbero segnalare decine e decine di ottime versioni del suddetto pezzo, ma tra le più memorabili c'è sicuramente l'incredibile duetto tra Ella Fitzgerald e Louis Armstrong, che definire pilastri della musica jazz sarebbe riduttivo.
Il brano parte con l'introduzione strumentale alla tromba da parte di Satchmo (soprannome di Louis Armstrong) e prosegue con l'impeccabile canto di Ella, coadiuvata dall'inconfondibile voce di Louis.
Un vero capolavoro!
Alla prossima!
Commenti: 0
Etichette:
Musica,
One Good Piece of Music Every Day
martedì 23 ottobre 2018
ONE GOOD PIECE OF MUSIC EVERY DAY: RADIOACTIVE/MACY KATE & KURT SCHNEIDER
Bentornati in questa rubrica musicale.
Oggi ci aspetta un po' di rock: un'ottima cover di "Radioactive" (singolo del 2012 del gruppo statunitense Imagine Dragons) da parte della bravissima Macy Kate, accompagnata dalla sua band e da Kurt Hugo Schneider.
Quest'ultimo è uno straordinario editor e producer musicale (oltre che musicista), che riarrangia brani noti di musica moderna rendendoli spesso assai superiori alle versioni originali, grazie anche ai talentuosi artisti di cui si circonda, tra cui la stessa Macy Kate, Madilyn Bailey (che avevamo avuto modo di ascoltare qui) e tanti altri.
Non resta che farci travolgere dalle note rockeggianti della suddetta cover.
Alla prossima!
Oggi ci aspetta un po' di rock: un'ottima cover di "Radioactive" (singolo del 2012 del gruppo statunitense Imagine Dragons) da parte della bravissima Macy Kate, accompagnata dalla sua band e da Kurt Hugo Schneider.
Quest'ultimo è uno straordinario editor e producer musicale (oltre che musicista), che riarrangia brani noti di musica moderna rendendoli spesso assai superiori alle versioni originali, grazie anche ai talentuosi artisti di cui si circonda, tra cui la stessa Macy Kate, Madilyn Bailey (che avevamo avuto modo di ascoltare qui) e tanti altri.
Non resta che farci travolgere dalle note rockeggianti della suddetta cover.
Alla prossima!
Commenti: 0
Etichette:
Musica,
One Good Piece of Music Every Day
lunedì 22 ottobre 2018
ONE GOOD PIECE OF MUSIC EVERY DAY: LA LA LAND SUITE/JACOB KOLLER
Rieccoci al nostro quotidiano appuntamento musicale.
Il brano prescelto stavolta è la Suite al pianoforte delle musiche del film La La Land, vincitore di 6 premi Oscar 2017, da parte dell'eclettico pianista Jacob Koller.
Senza dubbio parliamo di un film con una colonna sonora di qualità eccellente, tanto che si potrebbe visionare il film ad occhi chiusi e godere lo stesso!
Vi lascio alle superbe note qui di seguito.
Alla prossima!
Il brano prescelto stavolta è la Suite al pianoforte delle musiche del film La La Land, vincitore di 6 premi Oscar 2017, da parte dell'eclettico pianista Jacob Koller.
Senza dubbio parliamo di un film con una colonna sonora di qualità eccellente, tanto che si potrebbe visionare il film ad occhi chiusi e godere lo stesso!
Vi lascio alle superbe note qui di seguito.
Alla prossima!
Commenti: 0
Etichette:
Musica,
One Good Piece of Music Every Day
domenica 21 ottobre 2018
ONE GOOD PIECE OF MUSIC EVERY DAY: LAGGIÙ NEL SILENTE GIARDINO/WALTER ARTIOLI
Ben ritrovati nella rubrica musicale di Scienza e Musica!
Quest'oggi uno stupendo pezzo di operetta, "Laggiù nel Silente Giardino" da Sogno di un Valzer, operetta del 1907 di Oscar Straus (1870-1954), interpretato dalla voce possente di Walter Artioli.
La trama della suddetta operetta ispirò peraltro il film Sogno d'un valzer del 1925, diretto da Ludwig Berger.
Non resta che goderci questo magnifico brano.
Alla prossima!
Quest'oggi uno stupendo pezzo di operetta, "Laggiù nel Silente Giardino" da Sogno di un Valzer, operetta del 1907 di Oscar Straus (1870-1954), interpretato dalla voce possente di Walter Artioli.
La trama della suddetta operetta ispirò peraltro il film Sogno d'un valzer del 1925, diretto da Ludwig Berger.
Non resta che goderci questo magnifico brano.
Alla prossima!
Commenti: 0
Etichette:
Musica,
One Good Piece of Music Every Day
sabato 20 ottobre 2018
ONE GOOD PIECE OF MUSIC EVERY DAY: NESSUN DORMA (FOR SOLO PIANO)/PHILIP SHARP
Bentornati nella nostra rubrica musicale.
Stasera vi segnalo un brano super noto, "Nessun Dorma" dal terzo atto della Turandot di Giacomo Puccini, ma tutto eseguito al pianoforte dal pianista scozzese Philip Sharp.
Il primo tenore a intonare quest'aria fu Miguel Fleta nella rappresentazione dell'opera datata 25 aprile 1926, dopodiché numerosi straordinari tenori, tra cui l'indimenticabile Luciano Pavarotti, la eseguirono, portandolo a diventare uno dei brani di opera più famosi di sempre.
Ho scoperto da poco la suddetta trascrizione al pianoforte e ne sono rimasto positivamente colpito, tanto da meritare la segnalazione qui.
Buon ascolto!
Alla prossima!
Stasera vi segnalo un brano super noto, "Nessun Dorma" dal terzo atto della Turandot di Giacomo Puccini, ma tutto eseguito al pianoforte dal pianista scozzese Philip Sharp.
Il primo tenore a intonare quest'aria fu Miguel Fleta nella rappresentazione dell'opera datata 25 aprile 1926, dopodiché numerosi straordinari tenori, tra cui l'indimenticabile Luciano Pavarotti, la eseguirono, portandolo a diventare uno dei brani di opera più famosi di sempre.
Ho scoperto da poco la suddetta trascrizione al pianoforte e ne sono rimasto positivamente colpito, tanto da meritare la segnalazione qui.
Buon ascolto!
Alla prossima!
Commenti: 0
Etichette:
Musica,
One Good Piece of Music Every Day
venerdì 19 ottobre 2018
ONE GOOD PIECE OF MUSIC EVERY DAY: FIRST STEP (FROM INTERSTELLAR)/KYLE LANDRY
Ben ritrovati al nostro quotidiano appuntamento musicale.
Oggi è il turno di una splendida interpretazione al piano, da parte di Kyle Landry, di una colonna sonora tra le migliori degli ultimi anni.
Trattasi del brano "First Step" composto da Hans Zimmer per il film del 2014 Interstellar.
Un bellissimo film che meriterebbe un'analisi a parte per le tematiche scientifiche affrontate: tra i produttori esecutivi e consulenti scientifici della pellicola c'è nientemeno che il premio Nobel per la Fisica del 2017 Kip Thorne (che ha pubblicato al riguardo pure il testo divulgativo The Science of Interstellar).
Per ora limitiamoci a godere della sua musica.
Alla prossima!
Oggi è il turno di una splendida interpretazione al piano, da parte di Kyle Landry, di una colonna sonora tra le migliori degli ultimi anni.
Trattasi del brano "First Step" composto da Hans Zimmer per il film del 2014 Interstellar.
Un bellissimo film che meriterebbe un'analisi a parte per le tematiche scientifiche affrontate: tra i produttori esecutivi e consulenti scientifici della pellicola c'è nientemeno che il premio Nobel per la Fisica del 2017 Kip Thorne (che ha pubblicato al riguardo pure il testo divulgativo The Science of Interstellar).
Per ora limitiamoci a godere della sua musica.
Alla prossima!
Commenti: 0
Etichette:
Musica,
One Good Piece of Music Every Day
giovedì 18 ottobre 2018
ONE GOOD PIECE OF MUSIC EVERY DAY: FORTISSIMO/CHIARA CIVELLO
Rieccoci all'appuntamento musicale di questo blog.
Il brano prescelto per oggi è un classico della canzone italiana, "Fortissimo", scritto da Lina Wertmüller e Bruno Canfora ed eseguito originariamente da Rita Pavone nel 1966.
Ascoltiamo ora la cover della bravissima cantante jazz italiana Chiara Civello, dalla voce calda e suadente.
Alla prossima!
Il brano prescelto per oggi è un classico della canzone italiana, "Fortissimo", scritto da Lina Wertmüller e Bruno Canfora ed eseguito originariamente da Rita Pavone nel 1966.
Ascoltiamo ora la cover della bravissima cantante jazz italiana Chiara Civello, dalla voce calda e suadente.
Alla prossima!
Commenti: 0
Etichette:
Musica,
One Good Piece of Music Every Day
mercoledì 17 ottobre 2018
ONE GOOD PIECE OF MUSIC EVERY DAY: AFTER THE BALL/RICK WAKEMAN
Ben ritrovati nella nostra rubrica musicale.
Oggi è il turno di una bella composizione del tastierista inglese Rick Wakeman intitolata "After The Ball", pubblicata per la prima volta all'interno dell'album White Rock del 1977.
Se ascoltate bene, il brano ricorda in certi punti la celebre Liebesträum di Franz Liszt, tanto che nell'album di recentissima uscita di Wakeman, Piano Odissey, l'artista compie un mash-up tra la composizione classica lisztiana e la propria composizione.
Qui segnalerò però la versione originale di After The Ball.
Buon ascolto!
Alla prossima!
P.S: Cliccando qui vi si aprirà la playlist Youtube con tutti i brani finora inseriti nella nostra rubrica musicale.
Oggi è il turno di una bella composizione del tastierista inglese Rick Wakeman intitolata "After The Ball", pubblicata per la prima volta all'interno dell'album White Rock del 1977.
Se ascoltate bene, il brano ricorda in certi punti la celebre Liebesträum di Franz Liszt, tanto che nell'album di recentissima uscita di Wakeman, Piano Odissey, l'artista compie un mash-up tra la composizione classica lisztiana e la propria composizione.
Qui segnalerò però la versione originale di After The Ball.
Buon ascolto!
Alla prossima!
P.S: Cliccando qui vi si aprirà la playlist Youtube con tutti i brani finora inseriti nella nostra rubrica musicale.
Commenti: 0
Etichette:
Musica,
One Good Piece of Music Every Day
martedì 16 ottobre 2018
ONE GOOD PIECE OF MUSIC EVERY DAY: SPLENDOR IN THE GRASS/PINK MARTINI
Rieccoci al nostro appuntamento musicale quotidiano.
La scelta di oggi ricade su uno splendido pezzo dei Pink Martini, "piccola orchestra" che spazia tra vari generi musicali, compiendo anche diverse sperimentazioni che riuniscono musica moderna e musica classica/jazz/latina.
Il brano in questione è proprio un esempio perfetto di tale sperimentazione; si intitola "Splendor in the Grass" (dall'omonimo album del 2009) ed è un meraviglioso connubio tra una composizione moderna originale e il superlativo Piano Concerto n.1 di Tchaikovsky.
La voce principale dei Pink Martini è l'inconfondibile e bravissima China Forbes.
Buon ascolto!
Alla prossima!
La scelta di oggi ricade su uno splendido pezzo dei Pink Martini, "piccola orchestra" che spazia tra vari generi musicali, compiendo anche diverse sperimentazioni che riuniscono musica moderna e musica classica/jazz/latina.
Il brano in questione è proprio un esempio perfetto di tale sperimentazione; si intitola "Splendor in the Grass" (dall'omonimo album del 2009) ed è un meraviglioso connubio tra una composizione moderna originale e il superlativo Piano Concerto n.1 di Tchaikovsky.
La voce principale dei Pink Martini è l'inconfondibile e bravissima China Forbes.
Buon ascolto!
Alla prossima!
Commenti: 0
Etichette:
Musica,
One Good Piece of Music Every Day
lunedì 15 ottobre 2018
ONE GOOD PIECE OF MUSIC EVERY DAY: KAISER-WALZER (STRAUSS)/KARAJAN WITH BERLINER PHILHARMONIKER
Bentornati alla rubrica musicale di Scienza e Musica!
Oggi si balla col maestoso Kaiser-Walzer op. 437 di Johann Strauss (figlio), il "Valzer dell'Imperatore", risalente al 1889.
Ho scelto la versione della Berliner Philharmoniker condotta dall'inimitabile Herbert von Karajan, versione che ritengo impareggiabile ed insuperabile.
La denominazione "Kaiser" di questo valzer è una dedica agli imperatori Francesco Giuseppe d'Austria e Guglielmo II di Germania, in occasione dei festeggiamenti svoltisi nell'agosto 1889, durante la visita del primo all'imperatore di Germania.
La prima esecuzione del suddetto valzer, a Berlino, è datata, in particolare, 21 ottobre 1889.
Quasi 11 minuti di puro godimento qui di seguito!
Alla prossima!
Oggi si balla col maestoso Kaiser-Walzer op. 437 di Johann Strauss (figlio), il "Valzer dell'Imperatore", risalente al 1889.
Ho scelto la versione della Berliner Philharmoniker condotta dall'inimitabile Herbert von Karajan, versione che ritengo impareggiabile ed insuperabile.
La denominazione "Kaiser" di questo valzer è una dedica agli imperatori Francesco Giuseppe d'Austria e Guglielmo II di Germania, in occasione dei festeggiamenti svoltisi nell'agosto 1889, durante la visita del primo all'imperatore di Germania.
La prima esecuzione del suddetto valzer, a Berlino, è datata, in particolare, 21 ottobre 1889.
Quasi 11 minuti di puro godimento qui di seguito!
Alla prossima!
Commenti: 0
Etichette:
Musica,
One Good Piece of Music Every Day
domenica 14 ottobre 2018
ONE GOOD PIECE OF MUSIC EVERY DAY: HIDE AND SEEK/BROOKLYN DUO
Rieccoci al nostro quotidiano appuntamento musicale.
La scelta di oggi ricade su un pezzo del 2005, "Hide and Seek" della cantautrice britannica Imogen Heap, riarrangiato strumentalmente dai Brooklyn Duo feat. Dover Quartet.
Per chi non lo sapesse, i Brooklyn Duo sono un eccezionale duo costituito da un violoncellista e da una pianista che sovente riarrangiano brani moderni per i loro strumenti, rendendoli memorabili (anche se già non lo fossero).
Buon ascolto!
Alla prossima!
La scelta di oggi ricade su un pezzo del 2005, "Hide and Seek" della cantautrice britannica Imogen Heap, riarrangiato strumentalmente dai Brooklyn Duo feat. Dover Quartet.
Per chi non lo sapesse, i Brooklyn Duo sono un eccezionale duo costituito da un violoncellista e da una pianista che sovente riarrangiano brani moderni per i loro strumenti, rendendoli memorabili (anche se già non lo fossero).
Buon ascolto!
Alla prossima!
Commenti: 0
Etichette:
Musica,
One Good Piece of Music Every Day
sabato 13 ottobre 2018
ONE GOOD PIECE OF MUSIC EVERY DAY: FOUR BROTHERS/WOODY HERMAN
Bentornati nella rubrica musicale di Scienza e Musica.
Oggi segnalo un classico del jazz, "Four Brothers" del noto big band leader Woody Herman (1913-1987).
Il brano venne registrato da Herman il 27 dicembre 1947 per Columbia records.
In particolare, esso fu scritto da Jimmy Giuffre e arrangiato in modo che si alternassero assoli di vari sassofoni, 3 tenori ed 1 baritono.
Nell'esecuzione originale che ascolteremo, l'ordine degli assoli è il seguente: Zoot Sims, Serge Chaloff, Herbie Stewart e Stan Getz, tutti quanti ispirati dallo stile del loro idolo Lester Young, uno dei più grandi sassofonisti jazz di sempre.
Buon ascolto!
Alla prossima!
Oggi segnalo un classico del jazz, "Four Brothers" del noto big band leader Woody Herman (1913-1987).
Il brano venne registrato da Herman il 27 dicembre 1947 per Columbia records.
In particolare, esso fu scritto da Jimmy Giuffre e arrangiato in modo che si alternassero assoli di vari sassofoni, 3 tenori ed 1 baritono.
Nell'esecuzione originale che ascolteremo, l'ordine degli assoli è il seguente: Zoot Sims, Serge Chaloff, Herbie Stewart e Stan Getz, tutti quanti ispirati dallo stile del loro idolo Lester Young, uno dei più grandi sassofonisti jazz di sempre.
Buon ascolto!
Alla prossima!
Commenti: 0
Etichette:
Musica,
One Good Piece of Music Every Day
venerdì 12 ottobre 2018
ONE GOOD PIECE OF MUSIC EVERY DAY: CRYIN' TIME/BARBRA STREISAND & RAY CHARLES
Rieccoci al nostro appuntamento musicale dopo la pausa di ieri per dar libero spazio al post di analisi complessa.
Più volte abbiamo citato Barbra Streisand, dunque è arrivato il momento di una segnalazione che la riguarda.
In particolare, ci riferiamo allo splendido duetto con un altro mostro sacro: Ray Charles (1930-2004).
Il brano si chiama "Cryin' Time" e risale al 1964, originariamente pubblicato dall'artista di musica country statunitense Buck Owens.
Nel 1973, Barbra e Ray eseguirono la loro incredibile performance per lo speciale televisivo Barbra Streisand...And Other Musical Instruments.
Alla prossima!
Più volte abbiamo citato Barbra Streisand, dunque è arrivato il momento di una segnalazione che la riguarda.
In particolare, ci riferiamo allo splendido duetto con un altro mostro sacro: Ray Charles (1930-2004).
Il brano si chiama "Cryin' Time" e risale al 1964, originariamente pubblicato dall'artista di musica country statunitense Buck Owens.
Nel 1973, Barbra e Ray eseguirono la loro incredibile performance per lo speciale televisivo Barbra Streisand...And Other Musical Instruments.
Alla prossima!
Commenti: 0
Etichette:
Musica,
One Good Piece of Music Every Day
giovedì 11 ottobre 2018
ANALISI COMPLESSA: ZERI E SINGOLARITÀ
Continuiamo il nostro viaggio nel mondo dell'analisi complessa.
Prima di tutto l'elenco delle puntate precedenti:
- puntata 2: "Introduzione all'integrazione complessa";
Prima di tutto l'elenco delle puntate precedenti:
- puntata 0: "Viaggio nell'≪immaginario≫ mondo dei numeri complessi";
- puntata 1: "Primi elementi di analisi complessa: le condizioni di olomorfismo di Cauchy-Riemann";- puntata 2: "Introduzione all'integrazione complessa";
- puntata 3: "La rappresentazione integrale di Cauchy";
ZERI:
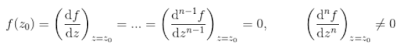
Bene, diciamo ora che, come avviene nel campo reale, pure nel campo complesso una funzione f(z) presenta uno zero di ordine n nel punto z = z₀ se in tale punto la funzione si annulla assieme con le sue prime n - 1 derivate, ma la derivata ennesima risulta diversa da 0.
In formule si ha che z = z₀ è uno zero di ordine n di f(z) se:
Ciò equivale a dire che nello sviluppo di Taylor di f(z) valido nell'intorno del punto z₀, zero di ordine n di f(z), i primi n coefficienti (da a₀ sino ad an-1) sono nulli mentre il coefficiente an è diverso da 0.
Ergo, lo sviluppo di Taylor assume la forma seguente:
Posto ora
è ovvio che g(z) sia una funzione analitica regolare nell'intorno del punto z = z₀ e che inoltre risulti g(z₀) ≠ 0.
Dunque è possibile asserire che nell'intorno di un punto z = z₀, che sia un suo zero di ordine n, una funzione analitica f(z) si può esprimere nella forma seguente:
ove g(z) è una funzione olomorfa non nulla nel punto z = z₀.
La suddetta rappresentazione mostra che gli zeri di una funzione analitica formano un insieme discreto (cioè privo di punti di accumulazione) all'interno della regione di olomorfismo della funzione stessa.
Inoltre, se 2 funzioni analitiche f₁(z) e f₂(z) coincidono in un insieme di punti il quale abbia anche un solo punto di accumulazione interno alla regione di regolarità di entrambe le funzioni, allora esse sono necessariamente identiche!
Infatti l'insieme degli zeri della funzione f₁(z) - f₂(z) (certamente analitica lì dove lo sono simultaneamente f₁ ed f₂) presenta allora un punto di accumulazione di zeri all'interno della propria regione di olomorfismo ed essa è pertanto identicamente nulla.
SINGOLARITÀ ISOLATE:
Un punto del piano complesso in cui una funzione f(z) non è definita si chiama singolarità della funzione.
Definiamo poi un punto singolare come una singolarità isolata della funzione f(z) se f(z) risulta non analitica in z = z₀, ma è analitica in tutti gli altri punti vicini.
Sia ora z₀ una singolarità isolata per f(z).
Allora in un intorno di z₀ vale lo sviluppo di Laurent
con
ove ρ designa il raggio di convergenza della serie.
mercoledì 10 ottobre 2018
ONE GOOD PIECE OF MUSIC EVERY DAY: CANÇÃO DO MAR/DULCE PONTES
Bentornati nella nostra rubrica musicale.
Il brano di oggi è in lingua portoghese: "Canção do Mar", composto da Ferrer Trindade e Frederico de Brito ed interpretato originariamente nel 1955 - con il titolo Solidão - da Amália Rodrigues per la colonna sonora del film francese Gli amanti del Tago (Les amants du Tage).
Ascoltiamo la versione della cantautrice portoghese dalla possente e suggestiva voce Dulce Pontes, nota anche per le sue strabilianti interpretazioni delle musiche di Ennio Morricone.
Alla prossima!
Il brano di oggi è in lingua portoghese: "Canção do Mar", composto da Ferrer Trindade e Frederico de Brito ed interpretato originariamente nel 1955 - con il titolo Solidão - da Amália Rodrigues per la colonna sonora del film francese Gli amanti del Tago (Les amants du Tage).
Ascoltiamo la versione della cantautrice portoghese dalla possente e suggestiva voce Dulce Pontes, nota anche per le sue strabilianti interpretazioni delle musiche di Ennio Morricone.
Alla prossima!
Commenti: 0
Etichette:
Musica,
One Good Piece of Music Every Day
martedì 9 ottobre 2018
ONE GOOD PIECE OF MUSIC EVERY DAY: WE'RE NOT MAKIN' LOVE ANYMORE/MICHAEL BOLTON & PATTI LABELLE
Ben ritrovati nell'appuntamento musicale di Scienza e Musica.
Quest'oggi un magnifico duetto vocale tra 2 straordinarie voci della musica moderna: Michael Bolton & Patti LaBelle.
Il brano in questione si intitola "We're Not Makin' Love Anymore", brano scritto dallo stesso Bolton e Diane Warren e registrato, per la prima volta, all'interno del cd di Greatest Hits di Barbra Streisand datato 1989.
Consigliandovi caldamente anche l'ascolto della versione originale della mitica Barbra (la trovate cliccando qui), segnaliamo di seguito lo splendido duetto sopracitato risalente invece al 1991.
Che dire? Bolton è una delle migliori voci maschili di musica leggera dei tempi moderni, l'assurda voce di Patti LaBelle parla da sola (l'avevamo già segnalata in un altro post e continueremo a farlo!).
Son pochissime le voci capaci di tener oggettivamente testa al "colosso" Barbra Streisand (probabilmente, assieme a Sarah Vaughan, la cantante non lirica con il controllo vocale più straordinario di sempre), ma questo è proprio il caso.
Alla prossima!
Quest'oggi un magnifico duetto vocale tra 2 straordinarie voci della musica moderna: Michael Bolton & Patti LaBelle.
Il brano in questione si intitola "We're Not Makin' Love Anymore", brano scritto dallo stesso Bolton e Diane Warren e registrato, per la prima volta, all'interno del cd di Greatest Hits di Barbra Streisand datato 1989.
Consigliandovi caldamente anche l'ascolto della versione originale della mitica Barbra (la trovate cliccando qui), segnaliamo di seguito lo splendido duetto sopracitato risalente invece al 1991.
Che dire? Bolton è una delle migliori voci maschili di musica leggera dei tempi moderni, l'assurda voce di Patti LaBelle parla da sola (l'avevamo già segnalata in un altro post e continueremo a farlo!).
Son pochissime le voci capaci di tener oggettivamente testa al "colosso" Barbra Streisand (probabilmente, assieme a Sarah Vaughan, la cantante non lirica con il controllo vocale più straordinario di sempre), ma questo è proprio il caso.
Alla prossima!
Commenti: 0
Etichette:
Musica,
One Good Piece of Music Every Day
lunedì 8 ottobre 2018
ONE GOOD PIECE OF MUSIC EVERY DAY: CONCIERTO DE ARANJUEZ (ADAGIO)/HAUSER & PETRIT ÇEKU
Rieccoci nel quotidiano appuntamento musicale su Scienza e Musica!
Oggi segnalo un meraviglioso brano che conosco da moltissimo tempo, ma in un'interpretazione che ho scoperto di recente.
Mi sto riferendo all'Adagio dal Concierto de Aranjuez, la composizione più celebre di Joaquín Rodrigo (1901-1999), scritta originariamente per chitarra e orchestra verso il 1939.
Molto probabilmente, il suddetto movimento del Concierto esprime in musica il dolore del compositore per la morte del figlio durante il parto.
L'interpretazione particolare che ascolteremo è quella del violoncellista Hauser (membro del famoso duo 2Cellos) assieme al chitarrista Petrit Çeku, accompagnati dalla Zagreb Philharmonic Orchestra.
Non aspettatevi un'esecuzione tradizionale (per quella vi rimando alla a dir poco magistrale versione di Carlos Bonell qui), piuttosto una sperimentazione nell'accostare cello e chitarra che funziona grazie alla grande delicatezza mostrata dai 2 esecutori.
Alla prossima!
Oggi segnalo un meraviglioso brano che conosco da moltissimo tempo, ma in un'interpretazione che ho scoperto di recente.
Mi sto riferendo all'Adagio dal Concierto de Aranjuez, la composizione più celebre di Joaquín Rodrigo (1901-1999), scritta originariamente per chitarra e orchestra verso il 1939.
Molto probabilmente, il suddetto movimento del Concierto esprime in musica il dolore del compositore per la morte del figlio durante il parto.
L'interpretazione particolare che ascolteremo è quella del violoncellista Hauser (membro del famoso duo 2Cellos) assieme al chitarrista Petrit Çeku, accompagnati dalla Zagreb Philharmonic Orchestra.
Non aspettatevi un'esecuzione tradizionale (per quella vi rimando alla a dir poco magistrale versione di Carlos Bonell qui), piuttosto una sperimentazione nell'accostare cello e chitarra che funziona grazie alla grande delicatezza mostrata dai 2 esecutori.
Alla prossima!
Commenti: 0
Etichette:
Musica,
One Good Piece of Music Every Day
domenica 7 ottobre 2018
ONE GOOD PIECE OF MUSIC EVERY DAY: SPOSA, SON DISPREZZATA (VIVALDI)/MONTSERRAT CABALLÉ
Bentornati nella nostra rubrica musicale.
Dedichiamo il post di oggi alla grande soprano spagnola Montserrat Caballé (1933-2018), "La Superba", deceduta ieri all'età di 85 anni.
Il brano prescelto è l'intensissima aria "Sposa, Son Disprezzata", utilizzata da Antonio Vivaldi nel dramma in 3 atti, datato 1735, intitolato Bajazet (RV 703).
RIP Montserrat.
Dedichiamo il post di oggi alla grande soprano spagnola Montserrat Caballé (1933-2018), "La Superba", deceduta ieri all'età di 85 anni.
Il brano prescelto è l'intensissima aria "Sposa, Son Disprezzata", utilizzata da Antonio Vivaldi nel dramma in 3 atti, datato 1735, intitolato Bajazet (RV 703).
RIP Montserrat.
Commenti: 0
Etichette:
Musica,
One Good Piece of Music Every Day
sabato 6 ottobre 2018
ONE GOOD PIECE OF MUSIC EVERY DAY: SOFTLY, AS I LEAVE YOU/BOBBY DARIN
Rieccoci nella rubrica musicale di Scienza e Musica.
È la volta della canzone "Softly, As I Leave You".
Molti magari ritengono che sia un pezzo di origine statunitense.
Errato! In realtà è un brano italiano, originariamente intitolato "Piano", composto da Tony De Vita con testo di Giorgio Calabrese.
Successivamente il testo venne tradotto in lingua inglese da Hal Shaper.
Il successo in italiano si ebbe con la straordinaria Mina, che lo portò a Sanremo e lo registrò come singolo nel 1960.
Il brano poi, notato dal sopracitato Hal Shaper, venne tradotto e divenne un successo internazionale (tanto che pure attualmente è decisamente più nota la versione inglese che quella italiana interpretata da Mina)!
Tra le innumerevoli versioni sussistenti, ho scelto oggi di segnalarvi quella assai delicata del cantante e attore Bobby Darin (1936-1973), versione che compare anche in un'intensa puntata della serie televisiva Revenge.
Alla prossima!
È la volta della canzone "Softly, As I Leave You".
Molti magari ritengono che sia un pezzo di origine statunitense.
Errato! In realtà è un brano italiano, originariamente intitolato "Piano", composto da Tony De Vita con testo di Giorgio Calabrese.
Successivamente il testo venne tradotto in lingua inglese da Hal Shaper.
Il successo in italiano si ebbe con la straordinaria Mina, che lo portò a Sanremo e lo registrò come singolo nel 1960.
Il brano poi, notato dal sopracitato Hal Shaper, venne tradotto e divenne un successo internazionale (tanto che pure attualmente è decisamente più nota la versione inglese che quella italiana interpretata da Mina)!
Tra le innumerevoli versioni sussistenti, ho scelto oggi di segnalarvi quella assai delicata del cantante e attore Bobby Darin (1936-1973), versione che compare anche in un'intensa puntata della serie televisiva Revenge.
Alla prossima!
Commenti: 0
Etichette:
Musica,
One Good Piece of Music Every Day
venerdì 5 ottobre 2018
ONE GOOD PIECE OF MUSIC EVERY DAY: SENTIMENTAL JOURNEY/LES BROWN & JO ANN GREER
Bentornati nella nostra rubrica musicale.
Il brano selezionato per oggi, datato 1944, è "Sentimental Journey", con musica composta da Les Brown e Ben Homer e testo di Bud Green.
L'esecuzione che ascolteremo è quella di Les Brown (1912-2001) e la sua "Band of Renown", con la partecipazione della cantante Jo Ann Greer (1927-2001).
Non resta che incamminarci in questo meraviglioso "viaggio sentimentale" in musica.
Alla prossima!
Il brano selezionato per oggi, datato 1944, è "Sentimental Journey", con musica composta da Les Brown e Ben Homer e testo di Bud Green.
L'esecuzione che ascolteremo è quella di Les Brown (1912-2001) e la sua "Band of Renown", con la partecipazione della cantante Jo Ann Greer (1927-2001).
Non resta che incamminarci in questo meraviglioso "viaggio sentimentale" in musica.
Alla prossima!
Commenti: 0
Etichette:
Musica,
One Good Piece of Music Every Day
giovedì 4 ottobre 2018
ONE GOOD PIECE OF MUSIC EVERY DAY: CORAL REEF/NEAL HEFTI
Rieccoci ad un nuovo appuntamento musicale su Scienza e Musica.
Oggi proponiamo un magnifico pezzo composto ed eseguito nei primi anni '50 da Neal Hefti, assieme alla sua Orchestra: "Coral Reef".
Per chi non lo sapesse, Neal Hefti (1922-2008) è stato un trombettista di musica jazz, ma pure compositore e arrangiatore.
A lui si devono, tra le altre cose, le musiche di una nota serie tv su Batman.
Alla prossima!
Oggi proponiamo un magnifico pezzo composto ed eseguito nei primi anni '50 da Neal Hefti, assieme alla sua Orchestra: "Coral Reef".
Per chi non lo sapesse, Neal Hefti (1922-2008) è stato un trombettista di musica jazz, ma pure compositore e arrangiatore.
A lui si devono, tra le altre cose, le musiche di una nota serie tv su Batman.
Alla prossima!
Commenti: 0
Etichette:
Musica,
One Good Piece of Music Every Day
mercoledì 3 ottobre 2018
ONE GOOD PIECE OF MUSIC EVERY DAY: RISE UP/MORISSETTE AMON
Rieccoci ad un nuovo appuntamento musicale.
Scusandomi per il giorno d'assenza, oggi la segnalazione riguarda un'interpretazione davvero straordinaria di un bellissimo pezzo di Andra Day (ottima cantante), del 2015, da parte della cantante filippina Morissette Amon, talvolta soprannominata la "Mariah Carey dell'Asia": "Rise Up".
Se la versione originale è già fantastica, questa cover "eleva il brano alle stelle"!
Alla prossima!
Scusandomi per il giorno d'assenza, oggi la segnalazione riguarda un'interpretazione davvero straordinaria di un bellissimo pezzo di Andra Day (ottima cantante), del 2015, da parte della cantante filippina Morissette Amon, talvolta soprannominata la "Mariah Carey dell'Asia": "Rise Up".
Se la versione originale è già fantastica, questa cover "eleva il brano alle stelle"!
Alla prossima!
Commenti: 0
Etichette:
Musica,
One Good Piece of Music Every Day
lunedì 1 ottobre 2018
ONE GOOD PIECE OF MUSIC EVERY DAY: FOR ME...FORMIDABLE/CHARLES AZNAVOUR
Bentornati nella rubrica musicale di Scienza e Musica.
Oggi è morto purtroppo uno dei più grandi artisti della musica francese moderna, spesso soprannominato il "Frank Sinatra di Francia", Charles Aznavour (1924-2018).
Ricordiamolo con lo stupendo brano "For Me...Formidable".
RIP Charles.
Oggi è morto purtroppo uno dei più grandi artisti della musica francese moderna, spesso soprannominato il "Frank Sinatra di Francia", Charles Aznavour (1924-2018).
Ricordiamolo con lo stupendo brano "For Me...Formidable".
RIP Charles.
Commenti: 0
Etichette:
Musica,
One Good Piece of Music Every Day
Iscriviti a:
Commenti (Atom)


































