Trattasi sostanzialmente di quel fenomeno (o meglio, ampia classe di fenomeni) per cui onde o particelle vengono deflesse per via delle collisioni con altre onde o particelle.
Esiste un variegato numero di fenomeni di scattering notevoli.
In passato abbiamo visto brevemente per esempio lo scattering Compton (o effetto Compton) qui.
In questo post presenteremo in modo (per quanto possibile) semplice e sintetico 2 tipi di scattering anch'essi molto importanti: lo scattering Rayleigh e lo scattering Thomson.
Prima di far ciò dobbiamo tuttavia compiere qualche premessa.
Innanzitutto ci serve capire l'importante concetto di sezione d'urto.
Immaginiamo a tal proposito di sparare un fascio di particelle su un certo campione di materiale e di voler studiare l'interazione sussistente.
Denotiamo con $N(x)$ il numero di particelle del fascio incidente (proiettili) che incidono nell’unità di tempo sulla unità di superficie del campione lungo l’asse $x$.
Indichiamo poi con $\Delta x$ un piccolo spessore del campione.
Per capire meglio, prendiamo a riferimento l'esperimento di Rutherford (di cui abbiamo accennato qui).
Sappiamo da esso che il numero di particelle diminuisce una volta urtato il materiale, giacché alcune particelle vengono deviate e non riescono a giungere all'analizzatore.
Nel nostro contesto generale ciò significa che
Notiamo immediatamente che
Nel dettaglio:
Qui $\eta$ è una costante maggiore di 0 che rappresenta la probabilità di deviazione delle particelle. Il segno - mette in evidenza la diminuzione dei proiettili nell’attraversamento dello spessore $\Delta x$.
Per giungere alla formula appena scritta si è assunta un’ipotesi semplificativa nota come condizione di urto singolo.
Si assume infatti che lo spessore del campione in esame sia così sottile che dopo il primo urto tra proiettile e bersaglio non ce ne siano altri.
Si assume inoltre che i bersagli nel campione siano abbastanza lontani gli uni dagli altri in modo che ciascun proiettile ne intercetti uno solo.
Va specificato che la costante $\eta$ dipende dal numero dei centri diffusori (bersagli) nell’unità di volume (cioè in pratica dalla loro densità).
Possiamo infatti scrivere anche che
 
Essa rappresenta semplicemente la probabilità, per singolo bersaglio, che ci sia l'interazione tra il proiettile e il bersaglio e ha le dimensioni fisiche di un'area!
Infatti si può scrivere:
 

 
		
	
	
		
			
				
					
						
Questo discorso esula però dagli scopi del presente post; magari torneremo sulla questione in futuro.
Abbiamo dunque capito in un contesto piuttosto generale cosa sia la sezione d'urto.
Il prossimo importante step del nostro discorso è ricordare che l'elettrodinamica classica stabilisce che una particella carica (non relativistica) emette radiazione elettromagnetica quando subisce una variazione di velocità (ossia un'accelerazione); la potenza della radiazione così emessa viene descritta dalla nota formula di Larmor:
dove $I_0$ è l'intensità incidente e la notazione $<P_{\mathrm{Larmor}}>$ serve per denotare la potenza media. 
Specifichiamo che l'intensità di un'onda elettromagnetica rappresenta l'energia che attraversa la superficie ortogonale alla velocità di propagazione dell'onda, nell'unità di tempo.
 
La legge di Rayleigh appena scritta prende il nome dal fisico britannico Lord Rayleigh, cioè John William Strutt (1842-1919), e può essere applicata nel caso della diffusione della luce solare (dalle molecole presenti) nell’atmosfera terrestre poiché molte delle frequenze proprie $\omega_0$ degli oscillatori interessati giacciono nella zona dell’ultravioletto e sono quindi maggiori di quelle della luce visibile: si è cioè nella situazione $\gamma \ll \omega \ll \omega_0$.
Essa consente di prevedere che la radiazione di più alta $\omega$ dello spettro della luce solare (ossia quella blu) viene maggiormente diffusa rispetto alle altre componenti cromatiche (come quella rossa): per tale motivo le è stato dato il suggestivo nome di legge del cielo blu.
Si guardi a tal proposito un bel grafico tratto dal testo Fisica Generale: Onde e Ottica di S. Focardi, I. Massa e A. Uguzzoni.
È proprio grazie a processi di diffusione nell’atmosfera che la luce proveniente dal Sole si rende visibile sulla Terra in tutte le direzioni, mentre gli astronauti dallo spazio, al di fuori dell’atmosfera terrestre (oppure dalla Luna, che è priva di atmosfera), vedono il “cielo nero”, se non guardano direttamente verso il Sole (e/o la Terra). 
		
	
	
		
		
 
È il caso in cui $\omega \gg \omega_0$ e la sezione d'urto diventa semplicemente
Va specificato che la costante $\eta$ dipende dal numero dei centri diffusori (bersagli) nell’unità di volume (cioè in pratica dalla loro densità).
Possiamo infatti scrivere anche che
ove $n = \frac{N_{BERS}}{V}$ è appunto la densità dei bersagli, mentre la grandezza $\sigma$ è la sezione d'urto totale del processo.
Siamo riusciti dunque a introdurre matematicamente questo importante concetto di sezione d'urto, ma cosa rappresenta concretamente?Essa rappresenta semplicemente la probabilità, per singolo bersaglio, che ci sia l'interazione tra il proiettile e il bersaglio e ha le dimensioni fisiche di un'area!
Infatti si può scrivere:
Detto in altri termini, la sezione d'urto può essere interpretata come l'area efficace per la diffusione.
Ogni bersaglio espone al flusso di particelle incidenti un'area (sferica) $\sigma$ e soltanto le particelle che intercettano quest'area vengono deviate.
La seguente immagine, tratta dal libro Particles and Nuclei: An Introduction to the Physical Concepts di B. Pohv, K. Rith, C. Scholz, F. Zetsche e W. Rodejohann, dovrebbe ben chiarire il concetto.
Questo discorso esula però dagli scopi del presente post; magari torneremo sulla questione in futuro.
Abbiamo dunque capito in un contesto piuttosto generale cosa sia la sezione d'urto.
Il prossimo importante step del nostro discorso è ricordare che l'elettrodinamica classica stabilisce che una particella carica (non relativistica) emette radiazione elettromagnetica quando subisce una variazione di velocità (ossia un'accelerazione); la potenza della radiazione così emessa viene descritta dalla nota formula di Larmor:
Per maggiori dettagli si rilegga qui.
Nel contesto dello scattering Rayleigh e di quello Thomson si potrà parlare di una sezione d'urto dipendente dalla frequenza della radiazione incidente. 
In particolare, la sezione d'urto $\sigma(\omega)$ va a rappresentare l'efficienza di emissione di radiazione da parte di un atomo, in funzione della frequenza incidente $\omega$.
Essa è strettamente legata alla potenza di Larmor dalla relazione
Specifichiamo che l'intensità di un'onda elettromagnetica rappresenta l'energia che attraversa la superficie ortogonale alla velocità di propagazione dell'onda, nell'unità di tempo.
Nello specifico, essa corrisponde al modulo del fondamentale vettore di Poynting, ma non entriamo nei dettagli di tale discorso.
Grazie alla formula di Larmor, assumendo poi il cosiddetto modello di Thomson, ove immaginiamo l'elettrone alla stregua di un oscillatore armonico smorzato con forzante esterna (per capire meglio si rilegga magari qui), con un po' di passaggi matematici si arriva a scrivere che
Qui $X$ è un modo sintetico per denotare la quantità $\sqrt{(\omega_0^2 - \omega^2)^2 + \gamma^2 \omega^2}$, in cui $\omega_0$ è la pulsazione propria del sistema e $\gamma$ è il coefficiente di smorzamento. Inoltre $e$ è la carica dell'elettrone, $m$ la sua massa, $\varepsilon_0$ la costante dielettrica del vuoto e $c$ la velocità della luce.
Definiamo ora il raggio classico dell'elettrone $r_e$ come
Esso si ottiene molto facilmente uguagliando l'energia elettrostatica di una sfera di carica $e$, avente raggio $r_e$, cioè $U = \frac{1}{4 \pi \varepsilon_0} \frac{e^2}{r_e}$, con l'energia a riposo $mc^2$ dell'elettrone.
			Per convenienza, scriviamo pure che
Manipolando un pochino l'espressione precedente data per $<P_{\mathrm{Larmor}}>$ e tenendo presente il valore delle quantità prima riportate, possiamo in definitiva scrivere
da cui è facile ricavare che
Trattasi dell'espressione generale della sezione d'urto di diffusione (incoerente).
A questo punto andiamo ad osservare cosa succede in 3 casi limite.
CASO N.1: CONDIZIONE DI RISONANZA
Trattasi del caso in cui andiamo a considerare $\omega \approx \omega_0$. La sezione d'urto si riduce in tal caso a:
CASO N.2: SCATTERING RAYLEIGH
È il caso in cui si assume $\omega \ll \omega_0$. La sezione d'urto risultante è quindi:
Essa consente di prevedere che la radiazione di più alta $\omega$ dello spettro della luce solare (ossia quella blu) viene maggiormente diffusa rispetto alle altre componenti cromatiche (come quella rossa): per tale motivo le è stato dato il suggestivo nome di legge del cielo blu.
Si guardi a tal proposito un bel grafico tratto dal testo Fisica Generale: Onde e Ottica di S. Focardi, I. Massa e A. Uguzzoni.
Sempre a proposito della tematica del cielo blu, vi segnalo l'interessante articolo della Prof.ssa Annarita Ruberto, la quale ha cercato di spiegare quanto qui appena illustrato mediante il rigoroso formalismo matematico in una maniera accessibile anche a dei giovani studenti delle scuole medie: cliccate qui per leggerlo!
Inoltre non posso esimermi dal segnalare una meravigliosa canzone scritta da Irving Berlin (1888-1989) nel 1926: Blue Skies.
Ascoltiamo nello specifico la versione interpretata dalla strepitosa Ella Fitzgerald.
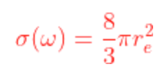
CASO N.3: SCATTERING THOMSON
cioè essa tende ad appiattirsi classicamente.
Lo scattering Thomson rappresenta oltretutto il limite a bassa energia dello scattering Compton.
Va però precisato che, mentre l'effetto Compton è un processo anelastico, lo scattering Thomson è un processo elastico.
Il fisico britannico Sir Joseph John Thomson (1856-1940) ha pubblicato per la prima volta la sua formula nel 1906, ricavandola a partire dalla legge di Larmor.
In particolare, Thomson utilizzò la formula in un articolo del suddetto anno al fine di dimostrare che il numero di elettroni in ciascun atomo è sostanzialmente lo stesso del numero atomico dell'elemento preso in considerazione.
Egli ottenne il suddetto risultato attraverso l'interpretazione degli esperimenti di scattering con raggi X eseguiti da Charles Glover Barkla (1877-1944) e attribuì la natura dello scattering alla reirradiazione dei raggi X da parte di tutti gli elettroni del campione, che potevano secondo lui essere considerati come particelle libere.
Concludiamo il post dicendo che i fenomeni di scattering sono assai rilevanti anche nell'ambito della fisica moderna.
In particolare, segnalo che il worldline formalism (di cui abbiamo parlato recentemente qui) può essere un buon strumento per fornire una rappresentazione integrale della sezione d'urto relativa a tali fenomeni di scattering e rendere il tutto gestibile anche per un calcolo di natura numerica.
Si legga a tal proposito per esempio l'articolo (molto tecnico) Master formulas for the dressed scalar propagator in a constant field di A. Ahmad, N. Ahmadiniaz, O. Corradini, S. P. Kim e C. Schubert, che potete visualizzare cliccando qui.
Va però precisato che, mentre l'effetto Compton è un processo anelastico, lo scattering Thomson è un processo elastico.
Il fisico britannico Sir Joseph John Thomson (1856-1940) ha pubblicato per la prima volta la sua formula nel 1906, ricavandola a partire dalla legge di Larmor.
In particolare, Thomson utilizzò la formula in un articolo del suddetto anno al fine di dimostrare che il numero di elettroni in ciascun atomo è sostanzialmente lo stesso del numero atomico dell'elemento preso in considerazione.
Egli ottenne il suddetto risultato attraverso l'interpretazione degli esperimenti di scattering con raggi X eseguiti da Charles Glover Barkla (1877-1944) e attribuì la natura dello scattering alla reirradiazione dei raggi X da parte di tutti gli elettroni del campione, che potevano secondo lui essere considerati come particelle libere.
Concludiamo il post dicendo che i fenomeni di scattering sono assai rilevanti anche nell'ambito della fisica moderna.
In particolare, segnalo che il worldline formalism (di cui abbiamo parlato recentemente qui) può essere un buon strumento per fornire una rappresentazione integrale della sezione d'urto relativa a tali fenomeni di scattering e rendere il tutto gestibile anche per un calcolo di natura numerica.
Si legga a tal proposito per esempio l'articolo (molto tecnico) Master formulas for the dressed scalar propagator in a constant field di A. Ahmad, N. Ahmadiniaz, O. Corradini, S. P. Kim e C. Schubert, che potete visualizzare cliccando qui.



















 
 Post
Post
 
 
 
 
 
 
 
 
 
 
 
 
 
 
 
 
 
Nessun commento:
Posta un commento