In tale sede, andremo ad introdurre i fondamenti di tale disciplina, per poi spingerci ad analizzare un fenomeno molto suggestivo, quello delle bolle di sapone, attraverso la nostra amata fisica!
Innanzitutto alcune domande: perché per fluidi intendiamo sia i liquidi che i gas? per quale ragione i solidi non sono compresi in tale denominazione?
Per rispondere a tali domande, conviene partire dai solidi, assumendoli in condizioni isoterme (temperatura ambiente costante di 20 °C).
Una delle proprietà caratterizzanti i solidi è l'elasticità, ovvero la capacità, una volta soggetti a delle forze deformanti, di ritornare allo stato originario o, in altri termini, alla condizione di equilibrio.
Abbiamo già accennato qualcosa sull'elasticità nell'articolo "L'origine della gomma"; ora però approfondiamo un po' la questione.
Immaginiamo un parallelepipedo avente una faccia fissata ad una parete, mentre la faccia opposta è sollecitata da una certa forza F, che chiamiamo carico, derivante da un corpo di massa m ad essa attaccato mediante un filo.
Eccovi l'immagine che renderà tutto più chiaro:
Questo è un esempio che illustra la famosa legge di Hooke.
Il nostro parallelepipedo subisce una forza di trazione F e, per il 3° principio della dinamica, vi si contrappone una forza elastica di uguale modulo ma verso opposto, per ritornare all'equilibrio iniziale.
Per completezza, il fenomeno inverso, ossia quello di una forza applicata in senso opposto all'esempio appena descritto, è detto compressione.
Da questo modello possiamo capire che le 2 grandezze fondamentali sono:
1) carico;
2) allungamento/deformazione.
Tuttavia, è molto utile parlare, in questo contesto, non di carico o deformazione assoluta, bensì di carichi e allungamenti unitari (o specifici).
Possiamo definire carico specifico o unitario (lo indicheremo con la lettera greca σ, cioè "sigma") il rapporto sussistente tra la forza applicata in maniera perpendicolare alla superficie data e la superficie stessa.
In altre parole, il carico specifico è la forza ortogonalmente all'unità di superficie.
Ecco la semplice formuletta descrivente il carico unitario:
.jpg)
Nel medesimo modo possiamo definire la deformazione specifica (o unitaria), chiamata anche allungamento lineare unitario (lo indicheremo con la lettera greca ε, "epsilon").
Esso è il rapporto tra l'allungamento subito dal corpo e la lunghezza del suddetto o, equivalentemente, l'allungamento subito da un materiale di lunghezza unitaria.
In simboli, tale espressione si traduce come:
.jpg)
Il rapporto tra i 2 parametri definiti ci fornisce il cosiddetto modulo di Young o modulo di elasticità E:
.jpg)
Manipoliamo l'espressione per capire alcuni particolari importanti:
.jpg)
Dall'espressione appena scritta possiamo capire che: più alto è il valore del modulo di Young (caratteristica intrinseca del materiale, misurata in N/m², "newton su metri quadrati"), più difficile sarà allungare il corpo prefissato.
L'equazione appena scritta ci fa dunque comprendere il motivo per cui la gomma è più elastica di un pezzo di ferro: il suo modulo di Young è nettamente inferiore a quello del metallo.
Ecco i dati precisi: il modulo di elasticità del ferro è E = 2 · 10¹¹ N/m², mentre per quanto concerne la gomma abbiamo dei valori compresi tra 5 · 10⁶ e 80 · 10⁶ N/m², a seconda della tipologia di gomma considerata.
Riassumendo: sussistono 4-5 ordini di grandezza di differenza tra i moduli di Young di ferro e gomma!
Questo non significa che il ferro non sia elastico, ma che il ferro è veramente poco elastico.
Tra l'altro, un corpo solido soggetto a trazione (o compressione) subisce anche una variazione della sua sezione e del suo volume.
Se consideriamo, giusto per fare un esempio concreto, una sbarra cilindrica di raggio r soggetta a trazione, allora vale la cosiddetta legge di Poisson:
.jpg)
ove:
- Δr = variazione del raggio (o, in generale, della dimensione trasversale dell'oggetto);
- ν (lettera greca "ni") = coefficiente di Poisson (varia da materiale a materiale, con valori compresi tra 0 e 0,5).
Cosa succederebbe se applicassimo una forza di taglio, cioè diretta lungo la tangente alla faccia attaccata al supporto mobile?
Anche in tal caso avremmo una deformazione, detta scorrimento.
Ciò che ci può dare una valutazione dello scorrimento è l'angolo θ ("theta"), ossia quello che si forma tra la configurazione iniziale del parallelepipedo e la configurazione a seguito della forza deformante.
Una figura potrà illustrare meglio la situazione:

Sussiste una relazione ben precisa tra il carico specifico σ e l'angolo θ:
.jpg)
Che cos'è G?
Come negli altri casi, G è un parametro, detto modulo di rigidità o di taglio, dipendente dal tipo di materiale preso in considerazione, e misurato in N/m² · rad.
Possiamo anche definirlo attraverso un'ulteriore formula:
.jpg)
Illustriamo adesso il nostro fenomeno fisico: quando applichiamo la forza di taglio, il corpo tende a deformarsi, determinando un angolo θ, ma sussiste poi la reazione contraria che tende a riportare tutto all'equilibrio iniziale, al cessare della forza applicata.
In particolare, l'equilibrio si ha quando:
.jpg)
Qualche lettore si starà forse chiedendo: cosa c'entra tutta questa trattazione su scorrimento, trazione ed elasticità con la meccanica dei fluidi?
Arriviamo dunque al nocciolo della questione: quali sono le differenze tra fluidi e solidi?
I solidi:
- possiedono forma e volume propri;
- possono essere soggetti a trazione e scorrimento;
- sono praticamente incompressibili;
- sono soggetti a forze di attrito radente (o volvente).
- possiedono volume ma non forma propria. Infatti tendono ad assumere la forma del recipiente entro il quale sono contenuti;
- sono praticamente incompressibili;
- non possiedono né forma né volume propri;
- sono altamente compressibili;
- tendono ad occupare tutto il volume disponibile.

Abbiamo osservato le differenze tra solidi, liquidi e gas.
Tuttavia, le differenze tra questi ultimi sono dovute sostanzialmente alla diversa forza dei legami tra gli atomi e le molecole che costituiscono questi 2 stati della materia.
Sono pertanto differenze prettamente microscopiche.
Dal punto di vista macroscopico possiamo invece studiare le loro caratteristiche insieme, denominandoli fluidi.
Non dobbiamo quindi far riferimento alla struttura microscopica dei fluidi, bensì dobbiamo avvalerci della cosiddetta ipotesi di continuità, consistente nel considerare i fluidi alla stregua di sistemi continui formati da tantissimi (infiniti) elementi aventi massa dm.
Facendo ricorso alla definizione di densità ρ (rapporto tra massa e volume) possiamo anche scrivere:
.jpg)
dove dV designa il volume infinitesimo.
Essendo un fluido un sistema continuo di n elementi di massa dm, non ha senso parlare (come avviene per quanto concerne i solidi) di forza applicata in un punto.
Risulta invece lecito parlare di:
1) forze di volume: proporzionali a dV, come ad esempio la forza peso dF = gm = gρdV;
2) forze di superficie: proporzionali alla superficie dS, come per esempio le forze di pressione dF = pdS.
Abbiamo quindi illustrato una prima differenza esistente fra fluidi e solidi.
Una seconda differenza sta nel fatto che, mentre per quanto riguarda i solidi abbiamo forze di attrito radente o forze elastiche che si oppongono all'azione di una data forza (o carico), nei fluidi tutto ciò non c'è.
Un fluido non può resistere ad esempio allo scorrimento: ciò significa che non sussiste una forza opposta a quella iniziale che riporta il sistema alla condizione d'equilibrio.
Esistono solo forze di attrito interno (quando c'è uno scorrimento relativo tra 2 elementi di fluido), che possiamo quantificare mediante la formula:
.jpg)
ove:
- dS = area di contatto tra i 2 elementi di fluido considerati;
- dv/dn = variazione del modulo della velocità di un elemento in direzione normale a dS;
- η ("eta") = coefficiente di viscosità, dipendente dalla tipologia del fluido e dalla temperatura. La viscosità si misura in kg/ms oppure in poise (unità di misura che prende il nome dal fisiologo francese Jean Louis Marie Poiseuille). 1 poise equivale a 0,1 kg/ms.
In caso contrario, infatti, i vari elementi comincierebbero a scorrere l'uno rispetto all'altro, scatenando l'abbandono della condizione di quiete.
In altri termini, possiamo affermare che un fluido è in quiete quando le velocità e le accelerazioni di tutti gli elementi di cui è costituito sono nulle, in un sistema di riferimento inerziale.
Questo comporta, basandoci sul primo principio della dinamica, che la risultante delle forze (di volume e di pressione) agenti deve essere nulla.
In simboli:
.jpg)
Ricordiamo che la pressione è definita come:
.jpg)
Nel caso si mantenga costante su una superficie finita, può essere scritta alla stregua del carico specifico:
.jpg)
La pressione è una funzione scalare, cioè dipende solamente dalla posizione del punto in cui è applicata non da come è orientata la superficie su cui agisce: in altri termini, la pressione non è un vettore, bensì un semplice scalare.
Possiamo anche dimostrare questa sua peculiarità basandoci sul cosiddetto principio di solidifazione, consistente nell'immaginare un elemento di fluido come un solido noto.
Sicché, immaginiamo un elemento di fluido (separato da tutto il resto per mezzo di una superficie indeformabile) alla stregua di un prisma a sezione triangolare.
Consideriamo adesso la nostra base triangolare, di cui riporto di seguito l'immagine esplicativa:

I lati del triangolo rettangolo sono:
- a = AB
- b = BC
- c = CA
Il prisma appare in quiete sotto l'azione delle forze di pressione visualizzabili in figura, ognuna perpendicolare alla superficie su cui agisce e pure costante.
L'equilibrio lungo gli assi orizzontale e verticale si ottiene attraverso queste relazioni:
.jpg)
Possiamo maniporarle sfruttando alcune famose identità trigonometriche e considerando che Fa = paah:
Sapendo questo, per dimostrare la non direzionalità della pressione, dobbiamo dimostrare che pa = pb = pc.
Sfruttiamo, a questo proposito, un noto teorema della trigonometria: il teorema dei seni.
Esso ci dice che in un triangolo sussiste un'uguaglianza tra i rapporti dei lati con i seni degli angoli rispettivamente opposti.
In simboli:
.jpg)
dove θ è l'angolo evidenziato nella figura, α è l'angolo retto, ϒ è il rimanente angolo.
Nella suddetta espressione, andiamo a sostituire 2 fatti evidenti:
1) il seno di α, essendo nel nostro caso α = 90°, è pari a 1;
2) sin ϒ = cosθ.
L'espressione si trasforma allora in questo modo:
.jpg)
Andiamo quindi a sostituire le nostre nuove espressioni di a nelle equazioni precedenti:
.jpg)
Ergo: pa = pb = pc, come volevasi dimostrare!
Riprendiamo adesso la questione dell'equilibrio statico di un fluido, in accordo con il 1° principio della dinamica.Ci eravano fermati affermando che la risultante delle forze (di pressione e di volume) deve essere nulla affinché regni la quiete.
Possiamo approfondire la trattazione andando ad analizzare come la pressione vari in funzione della posizione.
Per far ciò, riutilizziamo il nostro principio di solidificazione.
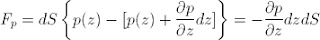
Questa volta immaginiamo un elemento di fluido come un cubo disposto in un sistema di riferimento tridimensionale Oxyz.
Ecco l'immagine chiarificatrice:
Chiamiamo:
- dz l'altezza del cubo;
- dS l'area di una faccia;
- dV il volume del cubo.
.jpg)
Adesso compiamo una particolare operazione che si chiama sviluppo in serie di Taylor.
Esso, in generale, ci permette di descrivere una certa funzione attraverso una serie.
Giusto per fornire un esempio, la funzione sen x è equivalente, per via dello sviluppo di Taylor, a:
Lo sviluppo che andremo ad effettuare sarà focalizzato sull'espressione p(z + dz) all'interno delle parentesi quadre e sarà uno sviluppo troncato al primo ordine.
Procediamo:
Siccome dz moltiplicato dS dà il volume dV, possiamo infine scrivere:
.jpg)
Dunque, la forza di pressione che agisce sul cubo lungo la componente z è pari alla derivata parziale della pressione rispetto a z moltiplicata per il suo volume infinitesimo, il tutto con segno negativo.
Per chiarimenti sulle derivate parziali, si legga l'articolo "Integrali definiti e derivate parziali: storia, proprietà e applicazioni in fisica".
Ora che abbiamo fornito un'espressione precisa alla forza di pressione, scriviamo quella relativa alla forza di volume, tenendo presente il 2° principio della dinamica F = ma:
.jpg)
ove:
- fz = componente lungo z della forza per unità di massa, ovvero dell'accelerazione;
- ρ = densità.

Abbiamo pertanto ottenuto la condizione di equilibrio lungo l'asse z.
L'analogo si può compiere per gli assi x e y.
Infatti, sussistono anche tali relazioni:
.jpg)
.jpg)
Possiamo ottenere una singola espressione che generalizzi tutto?
Sì, facendo riferimento ad un operatore differenziale che si chiama gradiente.
Prima di introdurre brevemente il gradiente, definiamo l'operatore nabla (o del) come:

Come potete notare, nabla (indicato con questa "delta rovesciata" ∇) è un operatore differenziale vettoriale le cui componenti sono le derivate parziali di qualcosa non ancora definito rispetto a x,y,z.
Precisiamo che le lettere i,j,k con il cappelletto sopra indicano i versori, ossia vettori di modulo unitario, utili nel definire un vettore.
Dunque, l'operatore nabla, scritto in tale maniera, è solo qualcosa che sta aspettando un "oggetto" a cui unirsi in una particolare relazione "amorosa".
Una di queste relazioni è proprio il gradiente!
Esso consiste nell'associare all'operatore nabla una certa funzione scalare; indichiamola genericamente con U:
Questa è l'espressione del gradiente, che può essere indicato in maniera sintetica in 2 modi:
1) ∇U;
2) grad U.
Come si può riscontrare, abbiamo definito il gradiente associando all'operatore nabla, che era rimasto tutto solo e triste, una bella funzione scalare, in modo che le derivate parziali abbiano senso!
Come potreste intuire, è facilissimo traslare questa definizione generica di gradiente al nostro caso della pressione, in quanto essa è una funzione scalare.
Ricordiamo che abbiamo scritto 3 equazioni, in cui le derivate parziali della pressione rispetto a una componente (x oppure y oppure z), sono eguali al prodotto tra la densità della porzione di fluido considerata e la componente della forza per unità di massa (a seconda dei casi, fx, fy, fz).
Sfruttando la nostra simpatica definizione di gradiente, andiamo a riscrivere il tutto come:
.jpg)
Ecco quindi l'espressione generalizzata dell'equilibrio statico di un fluido.
Tale formula ci fa comprendere che, nel caso un fluido sia in quiete, se vogliamo che la pressione rimanga costante non deve sussistere una forza di volume.
Infatti, se agisce una certa forza di volume, la pressione deve variare per assicurare sempre l'equilibrio.
La forza di volume tende a spostare il fluido, innescando una reazione opposta determinata appunto dalla variazione di pressione.
Ergo, la pressione rimane costante solo quando ρf = 0, o, al massimo, quando la densità è così bassa da diventare trascurabile, come avviene nel caso dei gas concentrati in piccoli volumi.
Questa piccola scorciatoia non può essere presa nel caso di grandi volumi, come l'atmosfera terrestre, poiché sussistebbero tante piccole variazioni di pressione nei gas che andrebbero a determinare un contributo non più minuto bensì rilevante.
Direi che ora è giunto il momento di passare finalmente alle bolle di sapone!
Innanzitutto, un bel video sulle bolle di sapone per farvi riposare la mente dopo la fatica intellettuale dovuta magari allo sviluppo di Taylor, al gradiente o all'operatore nabla:
Ora vogliamo cercare di rispondere ad una domanda fondamentale mediante la meccanica dei fluidi: perché l'acqua saponata produce splendide bolle, mentre l'acqua pura no?
Il motivo risiede nell'abbassamento della tensione superficiale dell'acqua mischiata col sapone.
Cos'è la tensione superficiale?
Per rispondere a tale domanda analizziamo un po' più approfonditamente i liquidi, anche dal punto di vista microscopico.
Sappiamo che essi sono costituiti da molecole tra le quali agiscono forze, in particolare di natura elettrica, che dipendono specialmente dalla distanza intermolecolare, che chiamiamo r.
Nel momento in cui r risulta inferiore a un certo valore r₀, dipendente dalla tipologia di molecole, la forza sussistente fra 2 molecole è repulsiva e aumenta in maniera estremamente celere al diminuire di r.
Per r maggiore di r₀, invece, questa forza intermolecolare diventa attrattiva ed ha caratteristiche opposte rispetto a quelle sopra elencate: infatti, descresce in modulo con la distanza, ma con un andamento molto più lento di quello che aveva la forza repulsiva.
Cosa succede allora ad una molecola all'interno del liquido?
Poiché sussiste la condizione r maggiore di r₀, ne consegue che la nostra molecola viene attratta da tutte le altre molecole che la circondano; possono tuttavia capitare condizioni di completa simmetria, nelle quali la forza risultante è in media pari a 0.Cosa accade invece ad una molecola vicina alla superficie libera del liquido?
In tal caso non esiste questa simmetria e pertanto essa risente di una forza diretta verso l'interno del liquido. In parole semplici e tenendo come riferimento la figura sopra riportata, una molecola all'interno del liquido possiede sempre delle molecole "compagne" che gli stanno tutte intorno, mentre una molecola prossima alla superficie libera del liquido non può essere circondata da tutte le parti da altre molecole.
Ciò significa che quest'ultima non potrà mai usufruire di una risultante delle forze nulla.
La suddetta considerazione ci fa capire che l'aumento della superficie libera di un liquido non può avvenire in maniera spontanea.
Per condurre una molecola dall'interno del liquido fino alla "parete" esterna è necessario compiere un lavoro (per chiarimenti e approfondimenti sul concetto di lavoro in fisica, vi consiglio di leggere l'articolo "La differenza tra lavoro e fatica") contro la forza che abbiamo descritto.
In altri termini, per aumentare di una quantità dS la superficie libera del liquido occorre compiere un lavoro dW e tale lavoro è pari a:
.jpg)
Cosa indica la lettera greca τ ("tau") all'interno della semplice equazione?
τ designa la tensione superficiale del liquido.
Possiamo quindi finalmente definire la tensione superficiale come:
.jpg)
La tensione superficiale dipende:
- dalla tipologia del liquido;
- dal gas situato al di sopra della superficie libera;
- dal solido o liquido con il quale il liquido considerato è a contatto;
- dalla temperatura: τ risulta inversamente proporzionale all'aumento di temperatura.
La superficie libera del liquido tende a contrarsi, assumendo l'estensione minima possibile, in modo compatibile con le forze esterne agenti e con le condizioni in cui il liquido stesso si trova.
Ecco perché, quando viene prodotta una bolla di sapone, essa tende ad assumere una conformazione sferica.
La sfera, infatti, è la figura geometrica che, a parità di volume, possiede la minima superficie!
Riprendiamo il nostro liquido generico e andiamo ad approfondire la questione della tensione superficiale.
Possiamo asserire che in ciascun punto della superficie di un liquido esiste una forza tangenziale di tensione, un po' come avviene nel caso di un filo soggetto a tensione.
Immaginiamo per un attimo di poter separare la superficie del liquido tramite un taglio netto: lungo questo taglio agiscono 2 forze, dovute agli elementi a destra e a sinistra del taglio.
Ciascuna forza si può quantificare attraverso l'equazione:
.jpg)
dove con ds indichiamo la lunghezza del taglio.
Ne consegue che:
.jpg)
Ergo, la tensione superficiale ha ben 2 definizioni (una concernente il concetto di lavoro, l'altra quello di forza tangenziale) equivalenti.
Non a caso, se si aumenta la superficie spostando il taglio ds della quantità dx, si compie un certo lavoro, esplicitato dall'espressione:
Giacché sappiamo che τ = dF/ds, allora:
.jpg)
Ci siamo dimenticati un piccolo ma non insignificante particolare: qual è l'unità di misura della tensione superficiale?
τ si misura in N/m o equivalentemente in J/m².
Riprendiamo per l'ennesima volta la nostra bolla di sapone, di raggio R.
La tensione superficiale che agisce sulla nostra bolla tende a farla contrarre: per mantenere l'equilibrio deve sussistere all'interno della bolla una certa pressione pi del gas contenuto, la quale deve essere maggiore della pressione esterna p₀.
Proviamo ad esprimere la differenza di pressione pi - p₀ in funzione di τ.
Prima di far ciò, definiamo il concetto di lavoro della forza di pressione.
Sappiamo che in meccanica, in generale, il lavoro è definito come la forza per lo spostamento (chiamiamolo dh):
.jpg)
Sappiamo anche che la forza di pressione si può esprimere come dF = pdS, dove dS è la superficie considerata.
Mescolando queste 2 formule, possiamo riscrivere il lavoro infinitesimo dW come:
.jpg)
Questo è un modo equivalente (utilizzato anche in termodinamica) per esprimere il lavoro, che risulta pari al prodotto tra la pressione e la variazione di volume.
Se, prendendo la nostra bolla, abbiamo un aumento di una quantità dR del suo raggio R, allora il lavoro della forza di pressione è:
essendo S = superficie della sfera = 4πR².
All'aumento dR del raggio si contrappone la tensione superficiale, con un certo lavoro.
Teniamo presente che la superficie di una sfera è pari a S = 4πR² e che differenziando tale formula otteniamo:
.jpg)
Detto ciò, possiamo scrivere il lavoro della tensione superficiale:
ove quel 2 che compare è stato inserito in quanto la bolla presenta 2 facce.
La condizione di equilibrio sarà data ovviamente dal lavoro totale nullo:
.jpg)
Dunque dobbiamo porre:
Semplificando e isolando la nostra espressione (pi - p₀), otteniamo quella che viene denominata "equazione di Laplace":
.jpg)
Ergo, l'eccesso di pressione interna rispetto a quella esterna, fondamentale per mantenere la bolla in equilibrio, risulta direttamente proporzionale alla tensione superficiale e inversamente proporzionale al raggio della bolla.
Nel caso in cui si abbia una superficie sferica piena di liquido o comunque che delimita una porzione di liquido, la pressione dovuta all'azione di τ, siccome dobbiamo considerare che in tal caso sussiste una sola superficie anziché 2, è pari a:
.jpg)
Ciò designa l'eccesso di pressione che c'è nella parte interna rispetto a quella esterna.
Direi che possiamo chiudere il capitolo sulle bolle di sapone.
Vorrei concludere il tutto, riportando alcuni simpatici passaggi del libro "La scienza divertente" di Giovanni Caprara e Lanfranco Belloni, relativi alle bolle e al principio di Archimede (probabilmente il più famoso principio della meccanica dei fluidi, il quale stabilisce che ogni corpo immerso in un fluido riceve una spinta, detta idrostatica, dal basso verso l'alto pari al peso del volume di fluido spostato):
"La fisica delle bolle d'aria si spiega con la "statica dei fluidi" nota fin dai tempi di Archimede e uno dei primissimi capitoli della scienza formulati nell'antichità....Alcuni ricercatori australiani dell'Università del Nuovo Galles del Sud, si sono posti il problema delle bollicine di birra che sembrano disobbedire ad Archimede. In una coppa di champagne, le bollicine salgono verso l'alto, come si conviene alle bolle di gas immerse in un liquido. In un boccale di birra Guinness invece, si può assistere a delle trasgressioni visibili al venerabile principio di Archimede. Lo hanno scoperto moltissimi osservatori di boccali ricolmi ancora prima di averli scolati. I problemi della cosiddetta dinamica dei fluidi, affrontati in prima battuta già nel glorioso Settecento dai sommi Eulero (1707-1783), Daniel Bernoulli (1700-1782) e Joseph-Louis Lagrange (1736-1813), sono oggi affrontati con sofisticate tecniche computazionali.
Nel 1999 Clive Fletcher e collaboratori dell'Università australiana si sono guardati bene diversi boccali e hanno notato che in effetti alcune bollicine si muovono verso il basso. Armati di computer, hanno concluso che per spiegare il fenomeno era necessario tenere conto delle dimensioni delle bollicine e della viscosità della birra. Per poter eseguire analisi ancora più scrupolose, si sono fatti comunicare dall'Irlanda dati precisi forniti dalla casa madre della Guinness, secondo i quali, nella birra appena versata, le bollicine hanno un diametro variabile fra un millimetro e 0,05 millimetri. Gli australiani hanno allora tenuto conto dei moti di insieme che avvengono dentro a un boccale della famosa bevanda. Nella birra schiumosa appena versata, tutte le bollicine inizialmente salgono e così facendo generano un moto ascensionale anche in parte del liquido stesso. Le bollicine che aderiscono al vetro, cioè alle pareti del boccale sono però più lente delle altre. Si innesca allora un complicato gioco di correnti, in conseguenza del quale il liquido che sale al centro del boccale, dotato di maggiore spinta ascensionale, si spinge verso i bordi una volta giunto alla superficie, per poi iniziare a discendere verso il basso. Così facendo trascina in giù le bollicine più piccole, che non riescono a mantenersi ubbidienti al principio di Archimede....Alcuni abitanti delle foreste del Costarica, per la precisione alcune lucertole, riescono addirittura a sfruttare le bolle d'aria obbedienti ad Archimede per riuscire a camminare sull'acqua. Una cosa del genere è sempre stata considerata una prerogativa di esseri dotati di poteri soprannaturali. Invece esiste un animaletto minuscolo, che quotidianamente sfreccia sulle acque di stagni e laghi delle foreste tropicali, la lucertola basilisco, che si muove, non già nuotando, ma camminando sopra la superficie liquida, o meglio calpestando l'acqua con arte sopraffina in modo tale da riuscire a ricavarne addirittura una spinta ascensionale. Il segreto della lucertola basilisco (Basiliscus basiliscus) è sfuggito a lungo agli scienziati che pure erano armati delle necessarie equazioni della fisica matematica fin dal Settecento. Per risolverlo c'è voluto un accurato studio sperimentale svolto su di un campione di 7 lucertole, catturate in Costarica e deportate negli USA. Messe in una vaschetta mantenuta a temperature tropicali, sono state debitamente spaventate per poter osservare e filmare i loro scatti fulminei. Così 2 biologi dell'ateneo di Harvard, Jim Glasheen e Thomas McMahon sono riusciti a carpire il loro segreto...Opportunamente riprese nei loro scatti improvvisi, le lucertole hanno rivelato uno straordinario sfruttamento delle leggi dell'idrodinamica. In sostanza, le lucertole sbattono la superficie dell'acqua con le loro zampine, e lo fanno con energia sufficiente a creare delle bolle di aria proprio sotto le loro sottili ma potenti estremità. In altri termini, con il loro rapido movimento di battuta, spingono dell'aria verso il basso creando una bolla nell'acqua. Il gioco della pressione idrostatica e della resistenza dell'acqua permette alla lucertola di appoggiare la zampa per un tempo brevissimo ma sufficiente a darsi la spinta per il passo successivo, mentre nel frattempo la bolla d'aria scompare. Di fatto sembra quindi che le lucertole basilisco non appoggino le zampe sull'acqua, ma solo sulle bolle d'aria. Si potrebbe persino dire che camminano sull'aria. Bisogna però ricordare che riescono nell'impresa perché pesano circa 90 grammi e con i loro 50 centimetri di lunghezza riescono a raggiungere velocità superiori ai 2 metri al secondo. Per poter sfruttare lo stesso meccanismo che consente alle lucertole di correre sull'acqua, un uomo di 80 chilogrammi dovrebbe scattare alla velocità di 30 metri al secondo, cioè una velocità al di là delle capacità umane. Inoltre per colpire l'acqua con la velocità necessaria, un uomo dovrebbe sviluppare una potenza 15 volte superiore a quella massima sprigionabile da un organismo umano quando è impegnato in una corsa in salita."
Infine, un ulteriore splendido video inerente alle bolle di sapone:
-----------------------------------------------------------------------------------
Questo post partecipa al 29° Carnevale della Fisica che si terrà il 30 marzo sul blog La curva dell'energia di legame.
Per ulteriori informazioni sul Carnevale della Fisica, visitare http://carnevaledellafisica.ning.com/.

.jpg)
.jpg)



.jpg)

.jpg)
.jpg)


Nessun commento:
Posta un commento